欢迎来到知嘟嘟! 联系电话:13336804447 卖家免费入驻,海量在线求购! 卖家免费入驻,海量在线求购!
知嘟嘟
我要发布
联系电话:13336804447
知嘟嘟经纪人
收藏
专利号: 2015101837037
申请人: 浙江工业大学
专利类型:发明专利
专利状态:已下证
专利领域: 计算;推算;计数
更新日期:2023-12-11
缴费截止日期: 暂无
价格&联系人
年费信息
委托购买

摘要:

权利要求书:

1.一种标准型递归神经网络发动机怠速模型辨识方法,其特征在于,所述方法包括以下步骤:(1)针对发动机怠速实际工况系统,采集跟系统辨识相关的状态变量,并做好前期传感器非线性信号的滤波处理;

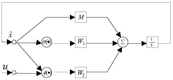
(2)标准型递归神经网络模型仅需要单层神经网络,且每个状态仅需要单个神经元,选择两个非线性Sigmoid型激励函数σ(·),φ(·),构造标准型递归神经网络辨识模型,其中a1,b1,c1;a2,b2,c2根据不同的系统参数进行取值;

1.6L四缸燃油喷射发动机为例建立数学模型如下:其中:

kP=42.4;kN=54.26;km1=0.907;km2=0.0998;km3=5.968×10-4;km4=5.341×10-4;

km5=1.757×10-6;τ=45/N

系统输出为进气歧管压力P0(kPa)和发动机转速N(r/min),系统输入u为节气门角度θ(度)和点火提前角δ(度), 为流入、流出歧管的空气流量,发动机转矩为Ti,负载转矩为TL,外界不确定转矩扰动为Td,g(P0)为歧管压力函数,所以进一步可以得到发动机系统的状态方程:其中:x1=P0,x2=N,u=(θ,δ)T,为可测变量, 为未知函数,选择相关输入为δ=30sin(t/2),θ为幅值20、频率0.5的锯齿波函数,Td为幅值20、频率0.25的方波函数,建立如下的标准型递归神经网络辨识模型(3)针对标准型递归神经网络设计自适应学习律

通过设计Lyapunov函数: 得到如下的自

适应学习律:

其中k1,k2,k3为正的常数,M为动态回归矩阵,W1,2为递归神经网络权值,e为辨识误差,为辨识状态,u为系统输入,σ(·),φ(·)为激励函数,所述自适应学习律满足如下稳定性条件:W1,2,M∈L∞,e∈L2∈L∞且

(4)将所测状态变量输入所述标准型递归神经网络辨识模型中,通过在线学习进行模型辨识;

在步骤(1)中,选择系统输出为进气歧管压力P0和发动机转速N,系统输入为节气门角度θ和点火提前角δ,然后将传感器采集的相关状态信号经过二阶低通巴特沃思滤波器进行滤波后送入标准型递归神经网络辨识模型;

在步骤(4)中,通过公式 计算辨识误差均方值;其中n为总共的仿真步长数,e(i)为第ith步的仿真误差;若RMS≤E则学习结束,E为系统平均误差容限,否则按照步骤(3)所给出的自适应律学习公式继续调整自适应学习律调节参数k1,k2,k3,最终确定k1=4,k2=k3=200;

Sigmod激励函数选择为, 于是

利用如下

在线自适应学习律 得到系统的辨识结果。