欢迎来到知嘟嘟! 联系电话:13336804447 卖家免费入驻,海量在线求购! 卖家免费入驻,海量在线求购!
知嘟嘟
我要发布
联系电话:13336804447
知嘟嘟经纪人
收藏
专利号: 2019102462760
申请人: 宁波大学
专利类型:发明专利
专利状态:已下证
专利领域: 有机高分子化合物;其制备或化学加工;以其为基料的组合物
更新日期:2023-08-24
缴费截止日期: 暂无
价格&联系人
年费信息
委托购买

摘要:

权利要求书:

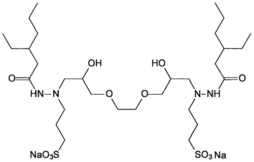
1.一种异辛酰肼磺酸钠引发剂的使用方法,其特征在于该引发剂的结构式为:

引发剂使用方法的特征在于操作步骤依次为:

1)将1.0g异辛酰肼磺酸钠引发剂溶于800mL水中,配成质量浓度在1.0~1.5‰范围的水溶液;

2)将80g油溶性第一单体苯乙烯加入到水溶液中,充分搅拌后加入0.8g过硫酸钾固体粉末,其用量为投入单体重量的1.0~1.5%,5~10分钟后发生分散聚合反应,体系温度可从20~25℃上升到40~45℃范围,并很快形成白色聚苯乙烯分散液,聚合反应在半小时内结束,此时苯乙烯基本耗尽;

3)加入不同量的第二种单体甲基丙烯酸甲酯,很快单体被聚苯乙烯颗粒吸收,然后加入第二批过硫酸钾,其用量为甲基丙烯酸甲酯质量的1%,聚合反应重新开始,体系温度又开始上升,聚合物颗粒尺寸变大,最后得到含有聚苯乙烯和甲基聚丙烯酸甲酯嵌段的共聚物;

4)在第二步结束后加入不同重量的丙烯酸羟乙酯作为第二种单体,待其溶解后再加入过硫酸钾,用量为丙烯酸羟乙酯重量的1%,经过短暂的诱导期后反应重新启动,体系的粘度明显增大,最后获得具有聚苯乙烯和聚丙烯酸羟乙酯嵌段的两亲性共聚物,上述乳液产物用甲醇沉淀后都得到固体产物。