欢迎来到知嘟嘟! 联系电话:13336804447 卖家免费入驻,海量在线求购! 卖家免费入驻,海量在线求购!
知嘟嘟
我要发布
联系电话:13336804447
知嘟嘟经纪人
收藏
专利号: 2013103427061
申请人: 西华大学
专利类型:发明专利
专利状态:已下证
专利领域: 控制;调节
更新日期:2024-02-23
缴费截止日期: 暂无
价格&联系人
年费信息
委托购买

摘要:

权利要求书:

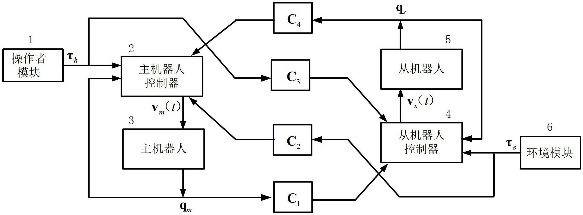
1.四通道遥操作系统的双边未知死区自适应控制系统,包括操作者模块、主机器人控制器、主机器人、第一通信通道、第二通信通道、第三通信通道、第四通信通道、从机器人控制器、从机器人和环境模块;主机器人的关节位置qm和操作者与主机器人交互力τh,分别通过第一通信通道和第三通信通道传输给从机器人控制器;从机器人的关节位置qs和从机器人与环境交互力τe,分别通过第四通信通道和第二通信通道反馈给主机器人控制器;

主机器人控制器包括主机器人控制律和主机器人死区参数估计,主机器人控制器输入包括操作者与主机器人交互力τh减去从机器人与环境交互力τe的差值△τ,其中△τ=τh-τe,以及主机器人的关节位置qm减去从机器人的关节位置qs的差值△q,其中△q=qm-qs;主机器人死区参数估计由差值△q作为主机器人自适应律的输入,通过主机器人自适应律得到主机器人死区参数估计的导数,再通过积分器得到主机器人死区参数估计值;

从机器人控制器包括从机器人控制律和从机器人死区参数估计,从机器人控制器输入包括从机器人与环境交互力τe减去操作者与主机器人交互力τh的差值-△τ,以及从机器人的关节位置qs减去主机器人的关节位置qm的差值-△q;从机器人死区参数估计由差值-△q作为从机器人自适应律的输入,通过从机器人自适应律得到从机器人死区参数估计的导数,再通过积分器得到从机器人死区参数估计值。

2.根据权利要求1所述的四通道遥操作系统的双边未知死区自适应控制系统,其特征在于:所述主机器人自适应律为:

其中,Γm为对称的正定矩阵,是调节增益;Em表示主机器人的状态误差变量;sm是关于主机器人的关节位置误差和关节速度误差的一个混合变量;

所述主机器人控制律为:

其中,Mm(qm)表示主机器人的惯量矩阵; 为主机器人的离心力和科氏力;

Gm(qm)为主机器人的重力;vm(t)为主机器人控制器输出;τh为操作者与主机器人交互力;

τe为从机器人与环境交互力;Kmp和Kmf为正定矩阵,分别为主机器人的关节位置增益和力增益; 为主机器人死区参数的估计值;

所述从机器人自适应律为:

其中,Γs为对称的正定矩阵,是调节增益;Es表示从机器人的状态误差变量;ss是关于从机器人的关节位置误差和关节速度误差的一个混合变量;

所述从机器人控制律为:

其中,Ms(qs)表示从机器人的惯量矩阵, 为从机器人的离心力和科氏力,Gs(qs)为从机器人的重力,vs(t)为从机器人控制器输出;Ksp和Ksf为正定矩阵,分别为从机器人的位置增益和力增益; 为从机器人死区参数的估计值。