欢迎来到知嘟嘟! 联系电话:13336804447 卖家免费入驻,海量在线求购! 卖家免费入驻,海量在线求购!
知嘟嘟
我要发布
联系电话:13336804447
知嘟嘟经纪人
收藏
专利号: 2021104645693
申请人: 青岛科技大学
专利类型:发明专利
专利状态:已下证
专利领域: 电通信技术
更新日期:2025-12-24
缴费截止日期: 暂无
价格&联系人
年费信息
委托购买

摘要:

权利要求书:

1.一种基于云计算的废旧手机拆解故障智能分类处理方法,其特征在于:所述处理方法为将手机故障进行统计,上传到云计算数据库计算概率,完善拆解过程,并通过云计算数据库按优先级排列故障检测顺序,当故障指令传达时,云计算数据库按优先级排列故障检测顺序将对应故障解决指令下传计算机进而操纵机械完成故障解决;手机故障包括手机螺钉拆解故障检测问题及解决办法、手机后盖拆解故障检测问题及解决办法、手机摄像头拆解故障检测问题及解决办法、手机主板拆解故障检测流程及解决办法;

所述手机螺钉拆解故障检测问题包括,当夹具装夹手机到达第一检查节点手机螺钉拆解故障检测区时的拆解流程是,对于螺钉位置进行坐标或者视觉定位,然后拆解工具根据坐标位置到达螺钉位置进行拆卸,螺钉拆解完成后通过磁力将螺钉取出放到螺钉回收区,在此过程,需要检测的故障包括螺钉滑丝、拆解工具与螺钉中心偏置、螺钉生锈、刀头旋转方向与螺钉旋向不匹配、商标阻挡、螺钉断裂、刀头与十字槽不匹配、设备死机;

对于手机螺钉问题,当故障发生时手机故障检测停止,计算机将故障记录上传云计算数据库计算故障发生概率,若是由于拆解螺钉刀头与螺丝不匹配,则针对这一型号螺丝找到合适螺丝刀安装到机器中进行拆卸,若型号不匹配是由于手机更换过别的螺丝,就单独进行人工拆卸;

若滑丝问题是由于上面沾染污渍或者粉末状的铁锈,则直接转人工处理或者在拆卸之前注意对每一台拆卸手机进行擦拭,然后进行拆卸;

若滑丝问题是由于螺丝孔滑丝造成,转人工进行维修,则通过增大孔摩擦力来取出螺丝,通过胶水将螺钉取出或使用烧制法和刀刻法;

对于具体人工拆卸上传指令到计算机再到云计算数据库,云计算数据库下传人工拆解指令给计算机进而操纵夹具将手机运送到人工拆解区域;

对于拆解工具与螺钉中心偏置问题,当故障发生时手机故障检测停止,计算机将故障记录上传云计算数据库计算故障发生概率,面对偏置,通过调整手机的位置或者拆卸工具的坐标点来帮助解决;

若是由于物理因素而导致拆解工具与螺钉中心没对齐,解决方法是人为的来调整和更改位置到合适位置,通过上传指令到计算机再到云计算数据库,云计算数据库下传人工拆解指令给计算机进而操纵夹具将手机运送到人工拆解区域;

对于螺钉生锈问题,当故障发生时手机故障检测停止,计算机将故障记录上传云计算数据库计算故障发生概率,转人工进行处理;

即通过震、敲、烧、焊方法来处理,其中的转人工流程上传指令到计算机再到云计算数据库,云计算数据库下传人工拆解指令给计算机进而操纵夹具将手机运送到人工拆解区域;

对于刀头旋转方向与螺钉旋向不匹配而导致的拆解问题,当故障发生时手机故障检测停止,计算机将故障记录上传云计算数据库计算故障发生概率,当出现不匹配导致机器螺钉超过屈服极限而断裂,则通过改变拆解机器程序,使其旋转方向与螺钉旋向匹配,进而使螺钉顺利被拧出;若发现该故障只出现在单一手机里并不会重复出现,将这一手机直接转人工进行拆解,上传指令到计算机再到云计算数据库,云计算数据库下传人工拆解指令给计算机进而操纵夹具将手机运送到人工拆解区域;

对于螺钉受商标阻挡问题,当故障发生时手机故障检测停止,计算机将故障记录上传云计算数据库计算故障发生概率,然后转人工进行,经人工去除商标阻挡之后,再进行螺钉拆解和检测流程,对于有商标阻挡问题的手机型号进行记录;

若该型号手机均有商标阻挡问题,则经过云数据库记录下数据,然后在拆解之前对该型号手机商标提前处理;

若发现该问题仅出现在个别手机里,则将这一部分手机在检测到故障时直接转人工进行拆解上传指令到计算机再到云计算数据库,云计算数据库下传人工拆解指令给计算机进而操纵夹具将手机运送到人工拆解区域;

对于螺钉断裂问题,当故障发生时手机故障检测停止,计算机将故障记录上传云计算数据库计算故障发生概率;

若是由于扭转方向不对超过屈服极限,首先要对拆解机器刀头旋转方向进行检查,并对这种型号手机进行记录,之后对于此型号手机拆解时要注意调整好扭转方向;

当螺钉断裂故障产生后,将螺钉顺利取出采用断裂螺钉取出设备或者转人工来进行维修,通过润滑法滴入润滑油然后反向敲击取出断裂螺钉,或用焊接法在断裂截面焊上把手然后反转出来;

其中的人工拆解流程为上传指令到计算机再到云计算数据库,云计算数据库下传人工拆解指令给计算机进而操纵夹具将手机运送到人工拆解区域;

对于刀头与螺钉旋紧方式不匹配的问题,当故障发生时手机故障检测停止,计算机将故障记录上传云计算数据库计算故障发生概率,拆解时对于不同型号手机螺钉种类要采集记录,若发现无法拆卸,我们首先对于此等故障进行记录,之后针对这一型号手机检查其螺钉种类,将拆卸机器拆解工具的刀头更换与螺钉旋紧方式相同,更换完毕后重新对手机螺钉进行拆解和故障检测;

若发现仅个别手机螺钉旋紧方式不同直接转人工进行拆卸,拆解流程为上传指令到计算机再到云计算数据库,云计算数据库下传人工拆解指令给计算机进而操纵夹具将手机运送到人工拆解区域;

针对编程坐标错误问题,坐标在每次拆解手机螺钉和其他设备零件时,要完成零点校准和拆卸检验,保证坐标准确;

若是由于坐标本身错误,则更新设备坐标然后完成手机拆解;

针对手机位置问题在进行手机位置变动故障检验时,用夹具移动时可用电脑坐标操作或视觉定位坐标;若由于夹具定位坐标错误,也要通过零点校准和坐标更新来完善;

若修正后仍然出现问题,则重新进行故障上传计算机和故障维修,在维修过程中将该部分手机转人工进行拆解,拆解流程为上传指令到计算机再到云计算数据库,云计算数据库下传人工拆解指令给计算机进而操纵夹具将手机运送到人工拆解区域;

若由于物理原因或者螺钉生锈无法吸取,进行人工拆解和提前对物理因素进行避免,提高拆解检测效率;人工拆卸流程为我们上传指令到计算机再到云计算数据库,云计算数据库下传人工拆解指令给计算机进而操纵夹具将手机运送到人工拆解区域;

对于设备死机问题,在进行手机拆解检测之前对程序和设备进行检查,掌握设备发生故障之前的异常征兆与劣化信息,对设备运行状态进行评估,判定其处于正常或非正常状态;在云计算数据库导入过程中,加入了故障树和贝叶斯网络来完成概率计算;

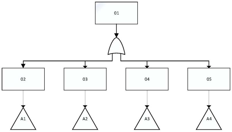
所述故障树分析是由上往下的演绎式失效分析法,利用布林逻辑组合低阶事件,分析系统中不希望出现的状态;

手机拆解故障树概率推理采用故障树技术对手机拆解故障进行分析,得到顶事件发生的所有最小割集,转化为以产生式规则为表现形式的知识,建立规则库,在此基础上故障的诊断和推理是以故障事实为依据,对规则做启发式检索和匹配的过程;

手机拆解故障树建立完毕后,根据底事件的失效概率来求顶事件失效概率,割集是由多个底事件构成的集合N,将这种方式用于手机拆解故障检测中,将所有故障发生的底事件用布尔代数运算处理为最小割集N;

假设顶事件T有n个最小割集M1、M2...Mn,得出故障树结构函数:ki表示第i个最小割集中底事件的个数;

假设每个Xj全部取1时,则 表现了当全部底事件发生时,顶事件必定会发生,将这种结构称为与门结构故障树;

由于最小割集之间不是相互排斥的,会产生有同一个底事件出现在多个最小割集当中,采用容斥定理来求解顶事件的概率:

40 12

所述手机故障树有40个最小割集,按容斥定理计算共有2 ‑1≈1.1*10 ,采用近似算法;所述底事件概率的上下限是近似的,顶事件概率近似为:上限

下限

中间近似

所述底事件为三个X1、X2、X3,每一个底事件发生概率为0.1,该故障树最小割集有M1=X1X2,M2=X1X3,M3=X2X3,按容斥定理进行计算:S1=P[M1]+P[M2]+P[M3]=P[X1X2]+P[X1X3]+P[X2][X1]=P(X1)P(X2)+P(X1)P(X3)+P(X2)P(X3)=0.03

S2=P[M1M2]+P[M1M3]+P[M2M3]

=P[X1X2X1X3]+P[X1X2X2X3]+P[X1X3X2X3]=P[X1X2X3]+P[X1X2X3]+P[X1X2X3]=0.003

S3=P[M1M2M3]=P[X1X2X3]=0.001

上限近似值S1=0.03;

下限近似值为S1‑S2=0.027;

中间近似值为S1‑(1/2)S2=0.0285;

按容斥定理顶事件发生概率精确计算值P=S1‑S2+S3=0.028;

得出中间近似值接近精确计算值,最终求得顶事件概率为0.0285;

对底事件进行分析,计算底事件的结构重要度;通过计算结构重要度了解各个故障的发生影响程度,按照结构重要度顺序安排故障检测顺序;

将底事件设为Xj,Xj有两种状态1故障发生0故障没发生,顶事件也有两种状态1发生或者0不发生,顶事件和底事件之间有四种关系;

考虑发生故障,当底事件变为1时顶事件从0变为1即

此时说明分流程故障的产生影响到了总流程的故障,导致了手机拆解故障检测停止;

n’

n’个底事件两种状态的互不相容的组合共有2 个,把第j个底事件做为变化对象,其余n’‑1底事件的状态对应保持不变的对照组有2 个,做比值为结构重要度,用下列公式表示:

4 3

有4个底事件,底事件两种状态组合数就有2个,其余底事件的状态对应保持不变有2个,则结构重要度将通过故障树完成的故障概率推理与贝叶斯网络概率推理来结合完善。