欢迎来到知嘟嘟! 联系电话:13336804447 卖家免费入驻,海量在线求购! 卖家免费入驻,海量在线求购!
知嘟嘟
我要发布
联系电话:13336804447
知嘟嘟经纪人
收藏
专利号: 2019103108557
申请人: 长春理工大学
专利类型:发明专利
专利状态:已下证
专利领域: 摄影术;电影术;利用了光波以外其他波的类似技术;电记录术;全息摄影术〔4〕
更新日期:2024-02-26
缴费截止日期: 暂无
价格&联系人
年费信息
委托购买

摘要:

权利要求书:

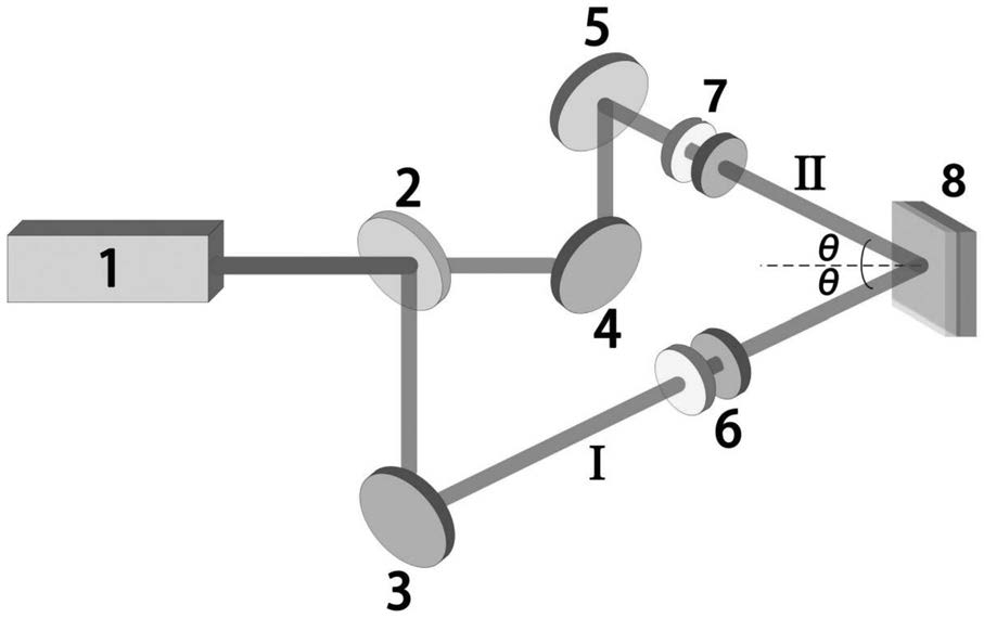
1.一种激光干涉向后转移系统,其特征在于,该系统包括:脉冲激光器、分束镜、反射镜和偏振镜;所述脉冲激光器发出激光,通过分束镜分出至少两束光,经由反射镜反射,通过偏振镜在激光能量范围内调节能量密度后,几束光发生干涉;待加工组件包括透光材料和体材料,调节过能量密度的激光穿过所述透光材料在所述体材料表面发生干涉,发生干涉的激光对体材料烧灼,溅射的物质沉积在与所述体材料临近的所述透光材料面上,形成纳米级图案;所述几束光在所述透光材料前的入射角度数相等。

2.根据权利要求1所述的一种激光干涉向后转移系统,其特征在于,所述入射角取值范围为5°-50°。

3.根据权利要求1所述的一种激光干涉向后转移系统,其特征在于,所述脉冲激光器为能量密度大于50mJ/cm2的飞秒或纳秒脉冲激光器。

4.根据权利要求1所述的一种激光干涉向后转移系统,其特征在于,所述反射镜为全反射镜。

5.根据权利要求1所述的一种激光干涉向后转移系统,其特征在于,所述体材料为薄膜材料,材质为金属、合金体、陶瓷或半导体。

6.根据权利要求1所述的一种激光干涉向后转移系统,其特征在于,所述体材料和透光材料之间的距离可调。

7.根据权利要求1所述的一种激光干涉向后转移系统,其特征在于,所述溅射的物质沉积在与所述体材料临近的所述透光材料面上的图案为条纹、点阵和梯度渐变图案。

8.根据权利要求1所述的一种激光干涉向后转移系统,其特征在于,所述透光材料为有机透光材料和无机透光材料。

9.根据权利要求1所述的一种激光干涉向后转移系统,其特征在于,所述有机透光材料为聚合物透光材料。

10.根据权利要求1所述的一种激光干涉向后转移系统,其特征在于,所述无机透光材料为石英玻璃、普通玻璃、光学玻璃,ITO玻璃和FTO玻璃。

我要求购
我不想找了,帮我找吧
您有专利需要变现?
我要出售
智能匹配需求,快速出售