欢迎来到知嘟嘟! 联系电话:13336804447 卖家免费入驻,海量在线求购! 卖家免费入驻,海量在线求购!
知嘟嘟
我要发布
联系电话:13336804447
知嘟嘟经纪人
收藏
专利号: 2019100816794
申请人: 浙江工业大学
专利类型:发明专利
专利状态:已下证
专利领域: 蒸汽的发生
更新日期:2023-08-24
缴费截止日期: 暂无
价格&联系人
年费信息
委托购买

摘要:

权利要求书:

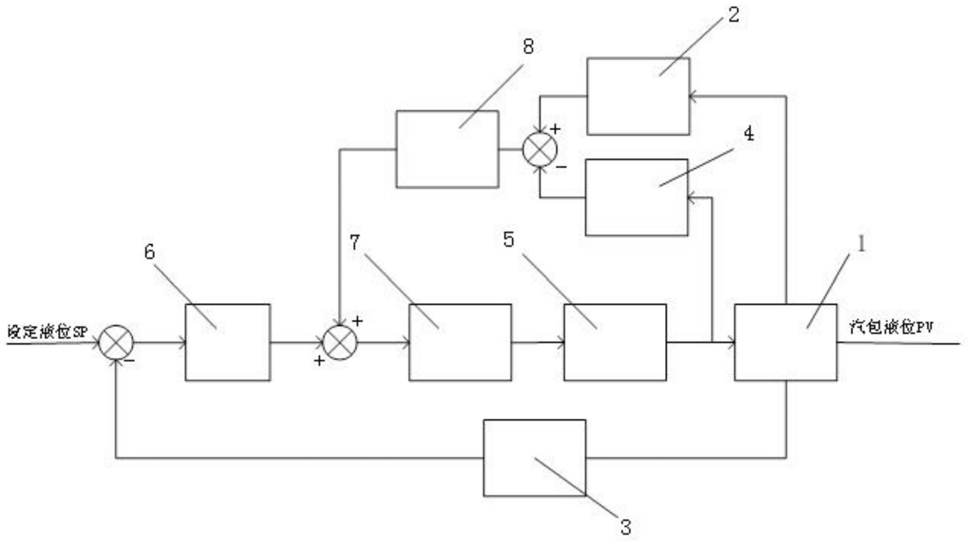
1.一种减少锅炉液位超调的三冲量控制方法,其特征在于,基于锅炉水位实测值、锅炉给水流量修正值及锅炉蒸汽流量修正值构成的锅炉三冲量控制系统,通过可变汽水失配信号,修正给水调节阀开度;包括如下步骤:步骤1:设定锅炉液位SP,蒸汽流量变送单元检测锅炉蒸汽流量,水位变送单元检测锅炉汽包水位PV,给水流量变送单元检测锅炉入口处进水给水流量;

步骤2:第一控制器计算锅炉设定液位SP与锅炉汽包水位PV的偏差值,第一控制器内置的PID模块将液位的偏差值进行PID运算,输出修正值;

步骤3:第二控制器接收蒸汽流量变送单元的蒸汽流量,并计算蒸汽流量修正值;其中,蒸汽流量修正值的计算公式如下:其中,D为蒸汽流量修正值,Δp为蒸汽流量变送单元压差,K为流量系数,γ(p,t)为蒸汽密度;

第二控制单元接收给水变送单元3的给水流量,并计算给水流量修正值;其中,给水流量修正值的计算公式如下:其中,Q为给水流量修正值,K为流量修正系数,t为给水的温度,Δp为给水流量变送单元压差;

步骤4:第二控制单元通过蒸汽流量修正值、给水流量计算汽水失配率;其中,汽水失配率公式如下:其中,D为蒸汽流量修正值,Q为给水流量修正值;

根据汽水失配率确定汽水失配率放大系数K:

k=0.08-0.3*f(x)/(1-f(x)+f2(x));

计算前馈信号;根据前馈信号与第一控制器输出的修正值,通过第二控制单元内置的PID模块得到结果控制给水调节阀开度。

2.根据权利要求1所述的一种减少锅炉液位超调的三冲量控制方法,其特征在于,所述锅炉三冲量控制系统,包括锅炉、水位变送单元、蒸汽流量变送单元、给水流量变送单元、第一控制器、第二控制器、给水调节阀及实际微分单元;

所述水位变送单元,用于检测锅炉汽包液位PV;

所述蒸汽流量变送单元,用于计算锅炉产生的蒸汽流量,检测单元内部流量变送器的压差用以补偿蒸汽流量;

所述给水流量变送单元,用于计算进入锅炉入口处进水给水流量,检测单元内部流量变送器的压差用以补偿给水流量;

所述第一控制器与所述水位变送单元相连,第一控制器内置PID模块根据水位差值对所述第二控制器输出值进行修正;

所述第二控制器与所述蒸汽流量变送单元和所述给水流量变送单元相连,根据所述动态汽水失配信号作为前馈信号,并根据所述第一控制器输出修正值和所述前馈信号对所述进水调节阀开度进行修正,并检测收到的蒸汽流量、给水流量是否发生异常;

所述给水调节阀连接在第二控制器和锅炉之间,根据第二控制器输出值和前馈信号调节进水流量控制锅炉液位;

所述实际微分单元与第二控制器相连,由一阶微分加惯性环节构成。

3.根据权利要求1所述的一种减少锅炉液位超调的三冲量控制方法,其特征在于,所述前馈信号计算公式如下:前馈信号=汽水失配放大系数K×汽水失配率。

我要求购
我不想找了,帮我找吧
您有专利需要变现?
我要出售
智能匹配需求,快速出售