欢迎来到知嘟嘟! 联系电话:13336804447 卖家免费入驻,海量在线求购! 卖家免费入驻,海量在线求购!
知嘟嘟
我要发布
联系电话:13336804447
知嘟嘟经纪人
收藏
专利号: 2016101335355
申请人: 华侨大学
专利类型:发明专利
专利状态:已下证
专利领域: 电通信技术
更新日期:2024-01-05
缴费截止日期: 暂无
价格&联系人
年费信息
委托购买

摘要:

权利要求书:

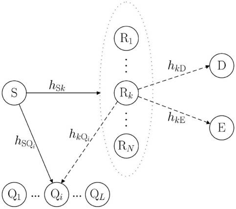
1.一种选择增强认知中继网络安全性能的中继节点的方法,其特征在于,选择中继节点的步骤如下:

1)第一时隙,次级源节点发送保密信号给所有的次级中继节点;

2)第二时隙,次级中继节点采用自适应解码转发协议转发来自次级源节点的信息至次级目的节点;

3)计算认知中继网络中次级网络的遍历安全容量和安全中断概率,其中,次级中继节点到次级目的节点的信道为合法信道,次级中继节点到次级窃听节点的信道为窃听信道,当合法信道与窃听信道噪声功率相等时,增强认知中继网络安全性能的中继节点的选择,是基于次级网络中合法信道瞬时信道增益与窃听信道平均信道增益的比值做最大化选择,公式如下:其中,k*为被选择的中继节点,为正确解码中继节点集合,|hkD|2为次级网络中合法信道瞬时信道增益,|hkE|2为窃听信道瞬时信道增益,函数 表示选择出集合 中使得f(k)达到最大值的元素k,函数 为求均值。

2.根据权利要求1所述的选择增强认知中继网络安全性能的中继节点的方法,其特征在于,当合法信道与窃听信道的噪声功率不相等时,选择中继节点的公式如下:其中,k*为被选择的中继节点,为正确解码中继节点集合, 为次级目的节点接收信噪比, 为次级窃听节点接收信噪比,函数 为求均值;

当考虑所有信道噪声均为单位方差,则

3.根据权利要求2所述的选择增强认知中继网络安全性能的中继节点的方法,其特征在于,第一时隙中,次级源节点发送信号对于主用户的影响不超过主用户最大可承受干扰功率阈值 则次级源节点实际的发送功率如下:其中,为次级源节点与次级中继节点的最大发送功率, 为次级源节点到每个主用户的信道系数,函数min{x,y}表示求x和y中的最小值,函数 表示求当i=1,...,L时的最大值。

4.根据权利要求3所述的选择增强认知中继网络安全性能的中继节点的方法,其特征在于,次级中继节点接收到的信号 其中,hSk表示次级源节点到第k个次级中继节点的信道系数,nSk表示次级中继节点在第一时隙接收的零均值的加性白高斯噪声;

次级中继节点接收信噪比 其中,

为次级源节点到次级中继节点的信道中的噪声方差。

5.根据权利要求4所述的选择增强认知中继网络安全性能的中继节点的方法,其特征在于,次级源节点至第k个次级中继节点Rk链路的互信息

6.根据权利要求5所述的选择增强认知中继网络安全性能的中继节点的方法,其特征在于,第二时隙中,如果CSk大于某个预设的目标传输速率Rt,则第k个次级中继节点Rk能够正确解码转发次级源节点发送的信息,所有能够正确解码转发源节点信息的次级中继节点的集合为正确解码中继节点集合

7.根据权利要求6所述的选择增强认知中继网络安全性能的中继节点的方法,其特征在 于,次级中继节点实际发送功率表示为:其中, 为次级源节点到每个主用户的信道系数。

8.根据权利要求7所述的选择增强认知中继网络安全性能的中继节点的方法,其特征在于,设正确解码中继集合 中随机一个次级中继节点k用于转发信源信息,则次级目的节点接收到的信号其中,hkD为次级中继节点到次级目的节点信道的信道系数,nkD为第二时隙中次级目的节点接收的零均值的加性白高斯噪声;

次级窃听节点接收到的信号

其中,hkE为次级中继节点到次级窃听节点信道的信道系数,nkE为第二时隙中次级窃听节点接收的零均值的加性白高斯噪声;

次级目的节点接收信噪比为

其中, 为次级中继节点到次级目的节点信道中的噪声方差;

次级窃听节点接收信噪比为

其中, 为次级中继节点到次级窃听节点信道中的噪声方差。

9.根据权利要求8所述的选择增强认知中继网络安全性能的中继节点的方法,其特征在于,合法信道信道容量 窃听信道信道容量 则安全容量

10.根据权利要求9所述的选择增强认知中继网络安全性能的中继节点的方法,其特征在于,在选择得到增强认知中继网络安全性能的中继节点k*后,得到遍历安全容量为:得到安全中断概率

其中,Rs为预设的目标安全速率。