欢迎来到知嘟嘟! 联系电话:13336804447 卖家免费入驻,海量在线求购! 卖家免费入驻,海量在线求购!
知嘟嘟
我要发布
联系电话:13336804447
知嘟嘟经纪人
收藏
专利号: 2014106860035
申请人: 东北林业大学
专利类型:发明专利
专利状态:已下证
专利领域: 测量;测试
更新日期:2023-08-21
缴费截止日期: 暂无
价格&联系人
年费信息
委托购买

摘要:

权利要求书:

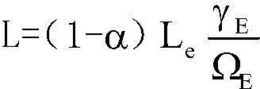
1.一种利用植物冠层分析仪测定叶面积指数的校正方法,利用LAI-2000植物冠层分析仪测定得到LAI值,然后根据公式 进行校正,式中,L为校正后的LAI数值,Le为校正前的LAI数值,其特征在于:公式中α、ΩE和γE为校正系数,其中α为木质指数占总LAI的比例,人工红松林和白桦次生林α的值分别为0.03和0.04,ΩE为集聚指数,人工红松林和白桦次生林ΩE的值分别为0.95和0.87,γE为针簇比,人工红松林的γE为1.53,而白桦次生林的γE为1.0;

α值的得出方法为:

基于Photoshop软件测定α值,利用DHP软件处理半球摄影图像得到总LAI,所述总LAI包括木质部和叶片,即植被指数,记为LAItotal;

对于阔叶林,利用Photoshop软件中的仿制像章工具,将图像中的树干用其附近的非树干代替,然后利用DHP软件再次处理该图像,得到绿叶产生的LAI,记为LAIgreen,根据下式得到α=(LAItotal-LAIgreen)/LAItotal;

对于非阔叶林,利用Photoshop软件中的仿制像章工具,将图像中的绿叶用天空代替,只剩下树干等木质部,利用DHP软件再次处理该图像,得到木质指数WAI,根据公式α=WAI/LAItotal得出α值。

2.根据权利要求1所述一种利用植物冠层分析仪测定叶面积指数的校正方法,其特征在于:所述LAI值的测定及校正系数都应用于叶面积最大时期。

3.根据权利要求2所述一种利用植物冠层分析仪测定叶面积指数的校正方法,其特征在于:所述方法应用于人工红松林和白桦次生林,地理位置为东经127°至130°,北纬46°至

49°之间,所述叶面积最大时期为该地理位置处的八月份时间。

4.根据权利要求1所述一种利用植物冠层分析仪测定叶面积指数的校正方法,其特征在于:ΩE值得出方法为:利用TRAC仪器采集每个样点的数据,并通过自身配套软件获得人工红松林和白桦次生林的ΩE值。

5.根据权利要求1所述一种利用植物冠层分析仪测定叶面积指数的校正方法,其特征在于:γE值得出方法为:通过实地采集样枝法测定人工红松林和百花次生林树种的γE,每个叶树种选择三株样树,每株样树按树高分为上,中,下三个高度,然后每个高度选取5-10个样簇,根据各树种的胸高断面积占所有树种总胸高断面积的比例进行加权得到人工红松林和白桦次生林的γE值。