欢迎来到知嘟嘟! 联系电话:13095918853 卖家免费入驻,海量在线求购! 卖家免费入驻,海量在线求购!
知嘟嘟
我要发布
联系电话:13095918853
知嘟嘟经纪人
收藏
专利号: 2013104234193
申请人: 浙江工业大学
专利类型:发明专利
专利状态:已下证
专利领域: 计算;推算;计数
更新日期:2023-12-11
缴费截止日期: 暂无
价格&联系人
年费信息
委托购买

摘要:

权利要求书:

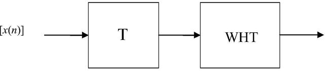
1.一种应用于数字滤波的沃什-新梅森数变换快速方法,其特征在于:对于长度为N的沃什-新梅森数变换WHNMNT,输入数据的长度为N,对输入数据x进行重排得到xr,重排方式是把序列中每个数据的时间序号进行二进制化表示并逐位取反,而后用该取反值作为相应数据在新序列中的位置,N等于2的幂次方;

新梅森变换矩阵用NMNT(N)表示,同样对新梅森数变换矩阵进行与上述方法同样的列重排,则重排后的变换矩阵为NMNTr(N);由于沃什哈达玛矩阵具有正交性,除了1/N这个因子外,沃什哈达玛正变换和逆变换相同,有如下公式成立{x}=(1/N)WH(N)WH(N){x} (1)对于输入信号{x}需要进行重排得到{xr},通过下标r表示数据重排,重排方式与数论矩阵的列重排一样,正变换后得到的矩阵X重排为Xr,则得到WHNMNT核心公式:Xr=NMNTr(N){xr}=(1/N)WH(N)WH(N)NMNTr[N]{xr} (2)于是

Xr=WH(N)T(N){xr} (3)

其中

T(N)=(1/N)WH(N)NMNTr(N) (4)此处的T矩阵由新梅森数变换矩阵的位置重排矩阵与沃什哈达玛矩阵结合而成,其对数据的运算称为T变换;

因此WHNMNT首先进行T变换,然后再进行沃什哈达玛变换,逆变换采用相同的方式,利用新梅森变换逆矩阵与沃什-哈达玛矩阵结合形成逆T矩阵,再经过沃什哈达玛变换得到{xr}。

2.如权利要求1所述的应用于数字滤波的沃什-新梅森数快速变换方法,其特征在于:所述T矩阵存在如下单元子矩阵结构:

该矩阵运算可通过如下公式进行变换:

w1=x1a+x2b=x1(a+b)+b(x2-x1)w2=x2a+x1b=x2(a+b)+b(x1-x2)其中,x1与x2表示T变换前的两个输入数据,w1与w2表示经过T变换矩阵之后的输出数据,公式中的a+b通过事先计算完成,这样在变换过程中不需要为此做加法运算。