欢迎来到知嘟嘟! 联系电话:13336804447 卖家免费入驻,海量在线求购! 卖家免费入驻,海量在线求购!
知嘟嘟
我要发布
联系电话:13336804447
知嘟嘟经纪人
收藏
专利号: 2013102441606
申请人: 浙江大学
专利类型:发明专利
专利状态:已下证
专利领域: 测量;测试
更新日期:2023-08-24
缴费截止日期: 暂无
价格&联系人
年费信息
委托购买

摘要:

权利要求书:

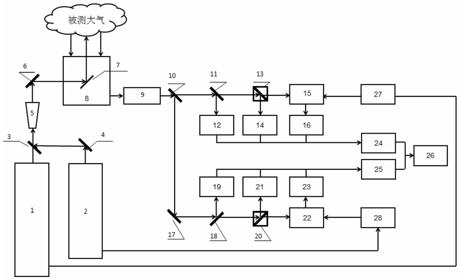
1.一种遥感区分灰霾类别的激光雷达装置,其特征在于包括两个偏振高光谱分辨率激光雷达系统和一个灰霾类别识别系统;两个偏振高光谱分辨率激光雷达系统分别为工作在

532nm波段的偏振高光谱分辨率激光雷达系统和工作在1064nm波段的偏振高光谱分辨率激光雷达系统;

工作在532nm波段的偏振高光谱分辨率激光雷达系统包括发射系统a、接收系统a、锁频系统a、数据采集及处理系统a;发射系统a包括532nm单频偏振脉冲激光器、

532nm/1064nm二相色分光镜a、扩束器、反射镜b和反射镜c;接收系统a包括望远镜、光学滤波器、532nm/1064nm二相色分光镜b、分光镜a、光电探测器a、偏振分光棱镜a、光电探测器b、高光谱分辨率滤光器a、光电探测器c;锁频系统a将高光谱分辨率滤光器a锁频至

532nm单频偏振脉冲激光器后,532nm单频偏振脉冲激光器发射的光束透过532nm/1064nm二相色分光镜a后并被扩束镜扩束后,经过反射镜b和反射镜c发射到被探测大气中;受到大气分子和气溶胶粒子的散射,产生激光雷达回波信号;激光雷达回波信号由望远镜收集后,通过光学滤波器滤除天空背景辐射,再透过532nm/1064nm二相色分光镜b后,经分光镜a分光,一路信号被反射进入光电探测器a,另一路信号透射到偏振分光棱镜a后分为两路,与单频偏振脉冲激光器发出的激光偏振态垂直的偏振信号被反射进入光电探测器b,与单频偏振脉冲激光器发出的激光偏振态相同的偏振信号透射到高光谱分辨率滤光器a,并经过高光谱分辨率滤光器a后被光电探测器c接收;光电探测器a、光电探测器b和光电探测器c完成三个通道信号的光电转换,将转换后的电信号输入数据采集及处理系统a,数据采集及处理系统a将电信号数字化,并对数字化后的电信号进行大气参数的反演运算,从而得到被探测大气在532nm波段的参数,数据采集及处理系统a将反演得到的参数传输给灰霾类别识别系统;

工作在1064nm波段的偏振高光谱分辨率激光雷达系统包括发射系统b、接收系统b、锁频系统b、数据采集及处理系统b;发射系统b包括1064nm单频偏振脉冲激光器、反射镜a、

532nm/1064nm二相色分光镜a、扩束器、反射镜b和反射镜c;接收系统b包括望远镜、光学滤波器、532nm/1064nm二相色分光镜b、反射镜d、分光镜b、光电探测器d、偏振分光棱镜b、光电探测器e、高光谱分辨率滤光器b、光电探测器f;锁频系统b将高光谱分辨率滤光器b锁频至1064nm单频偏振脉冲激光器后,1064nm单频偏振脉冲激光器发射的光束经反射镜a反射后,又被532nm/1064nm二相色分光镜a反射并被扩束镜扩束后,经过反射镜b6和反射镜c发射到被探测大气中;受到大气分子和气溶胶粒子的散射,产生激光雷达回波信号,激光雷达回波信号由望远镜收集后,通过光学滤波器滤除天空背景辐射,再被532nm/1064nm二相色分光镜b和反射镜d先后反射,并经分光镜b分光,一路信号被反射进入光电探测器d,另一路信号透射到偏振分光棱镜b后分为两路,与单频偏振脉冲激光器发出的激光偏振态垂直的偏振信号被反射进入光电探测器e,与单频偏振脉冲激光器发出的激光偏振态相同的偏振信号透射到高光谱分辨率滤光器b,并经过高光谱分辨率滤光器b后被光电探测器f接收;光电探测器d、光电探测器e和光电探测器f完成三个通道信号的光电转换,将转换后的电信号输入数据采集及处理系统b,数据采集及处理系统b将电信号数字化,并对数字化后的电信号进行大气参数的反演运算,从而得到被探测大气在1064nm波段的参数,数据采集及处理系统b将反演得到的参数传输给灰霾类别识别系统。

2.如权利要求1所示的一种遥感区分灰霾类别的激光雷达装置,其特征在于所述的532nm/1064nm二相色分光镜a、扩束器、反射镜b、反射镜c、望远镜、光学滤波器、

532nm/1064nm二相色分光镜b由工作在532nm波段的偏振高光谱分辨率激光雷达系统和工作在1064nm波段的偏振高光谱分辨率激光雷达系统共用;所述的532nm单频偏振脉冲激光器和1064nm单频偏振脉冲激光器能够是同一个激光器;当为同一个激光器时,该激光器或同时具有两个分别发射532nm单频偏振脉冲激光和1064nm单频偏振脉冲激光的激光头,或具有一个同时能够发射532nm单频偏振脉冲激光和1064nm单频偏振脉冲激光的激光头;当所述的532nm单频偏振脉冲激光器和1064nm单频偏振脉冲激光器属于同一个激光器并且从同一个激光头发射激光时,系统将省略反射镜a和532nm/1064nm二相色分光镜a。

3.如权利要求1所述的一种遥感区分灰霾类别的激光雷达装置,其特征在于所述的灰霾类别识别系统包括灰霾样本库模块、判别函数计算模块和灰霾成分输出模块;灰霾样本库模块含有不同类别灰霾气溶胶的光学属性样本集,其中灰霾气溶胶的特征向量为X=T ⊥ ‖[δa Sa Ca Ra],且δa=βa /βa 为532nm波段灰霾气溶胶的退偏比,即垂直(S)偏振的⊥ ‖

后向散射系数βa 和水平(P)偏振的后向散射系数βa 之比;Sa=αa/βa为532nm波段灰霾气溶胶的雷达比,即灰霾气溶胶消光系数αa和后向散射系数βa之比;

表示灰霾气溶胶的散射颜色比,即灰霾气溶胶在532nm波段的后向散射系数 与在

1064 532

1064nm波段的后向散射系数 之比;Ra=δ /δ 表示灰霾气溶胶的谱退偏比,即灰

1064 532

霾气溶胶在1064nm波长上退偏比δ 和532nm波长上退偏比δ 的比值。

4.如权利要求3所述的一种遥感区分灰霾类别的激光雷达装置,其特征在于所述的判T

别函数计算模块用于将实际气溶胶的特征向量XD=[δa Sa Ca Ra]D 与灰霾样本库模块中T

的灰霾气溶胶的特征向量X=[δa Sa Ca Ra] 进行比较判别;所述的比较判别采用最大似然参数估计方式中的贝叶斯判别方法估计出样本统计规律的相关参数;假定样本分为n个类别,则特征向量x属于ωi类的概率如下:其中,P(x|ωi)为特征向量x属于ωi类的后验概率,P(ωi)为ωi类在样本库中的权重;因此,在P(ωi|x)所有取值中,特征向量x归于取值最大的类别;

灰霾成分输出模块根据判别函数计算模块的比较结果,对被分析灰霾进行分类输出。

5.如权利要求1所述的一种遥感区分灰霾类别的激光雷达装置,其特征在于所述的

532nm单频偏振脉冲激光器和1064nm单频偏振脉冲激光器发出的激光频谱宽度不大于

150MHz。

6.如权利要求1所述的一种遥感区分灰霾类别的激光雷达装置,其特征在于所述的高光谱分辨率滤光器a是碘分子吸收滤光器或具有高光谱分辨率的干涉仪;所述的高光谱分辨率滤光器b是具有高光谱分辨率的干涉仪。

7.如权利要求1所述的一种遥感区分灰霾类别的激光雷达装置,其特征在于所述的高光谱分辨率滤光器a和高光谱分辨率滤光器b结构相同,包括分光棱镜c、混合臂玻璃、混合臂空气隙、混合臂反射镜、玻璃臂玻璃和玻璃臂反射膜;混合臂反射镜与混合臂玻璃之间设置有混合臂空气隙,混合臂玻璃和玻璃臂玻璃设置在分光棱镜c的分光面两边且相邻的直角边上,玻璃臂玻璃远离分光棱镜c的一端镀有玻璃臂反射膜;分光棱镜c将经偏振分光棱镜b后的偏振信号分成两路,一路信号通过由玻璃臂玻璃和玻璃臂反射膜组成的干涉臂a,并由干涉臂a远离分光棱镜端的玻璃臂反射膜反射后,重新被分光棱镜c分光并反射至出射端;另一路信号依次通过由混合臂玻璃、混合臂空气隙和混合臂反射镜组成的干涉臂b,并由干涉臂b远离分光棱镜端的混合臂反射镜反射,且反射后的该路信号原路返回,重新被分光棱镜c分光并透射至出射端;经干涉臂a和干涉臂b返回的两路信号在出射端产生干涉后由光电探测器f接收。