欢迎来到知嘟嘟! 联系电话:13336804447 卖家免费入驻,海量在线求购! 卖家免费入驻,海量在线求购!
知嘟嘟
我要发布
联系电话:13336804447
知嘟嘟经纪人
收藏
专利号: 2010105367235
申请人: 浙江工业大学
专利类型:发明专利
专利状态:已下证
专利领域: 有机化学〔2〕
更新日期:2023-08-24
缴费截止日期: 暂无
价格&联系人
年费信息
委托购买

摘要:

权利要求书:

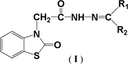
1.一种如式(I)所示的(2-氧代苯并噻唑)-3-乙酰腙类化合物:

式(I)中,R1, R2各自独立为C1~C4的烷基、苯基或取代苯基,所述的取代苯基的苯环上有一个或两个以上的取代基,所述的取代基为C1~C3的烷基、卤素、硝基或甲氧基。

2.如权利要求1所述的(2-氧代苯并噻唑)-3-乙酰腙类化合物,其特征在于所述的化合物(I)中R1为甲基。

3.如权利要求1所述的(2-氧代苯并噻唑)-3-乙酰腙类化合物,其特征在于所述的化合物(I)中,R1为甲基时,R2为下列之一:甲基、乙基、异丙基、苯基、4-甲基苯基、4-氯苯基、3-氯苯基、4-氟苯基、4-溴苯基、4-硝基苯基、2,6-二氟苯基、2-甲氧基苯基或4-甲氧基苯基。

4.一种制备如权利要求1所述的(2-氧代苯并噻唑)-3-乙酰腙类化合物的方法,其特征在于所述的方法为:将如式(II)所示的(2-氧代苯并噻唑)-3-乙酰肼与式(III)所示的酮加入无水乙醇溶剂中,搅拌并加热至78℃,回流反应1~5h,薄层色谱跟踪反应,反应结束,将反应液后处理制得式(I)所示的(2-氧代苯并噻唑)-3-乙酰腙类化合物,所述的式(II)所示的(2-氧代苯并噻唑)-3-乙酰肼与式(III)所示的酮的投料物质的量之比为

1:1.0~1.5,

式(III)中,R1, R2各自独立为C1~C4的烷基、苯基或取代苯基,所述的取代苯基的苯环上有一个或两个以上的取代基,所述的取代基为C1~C3的烷基、卤素、硝基或甲氧基。

5.如权利要求4所述的(2-氧代苯并噻唑)-3-乙酰腙类化合物制备方法,所述的无水乙醇的体积用量以(2-氧代苯并噻唑)-3-乙酰肼的物质的量计为2~5 mL/mmol。

6.如权利要求4所述的(2-氧代苯并噻唑)-3-乙酰腙类化合物制备方法,其特征在于所述的式(II)所示的(2-氧代苯并噻唑)-3-乙酰肼与式(III)所示的酮的投料物质的量之比为1:1.0~1.1。

7.如权利要求4所述的(2-氧代苯并噻唑)-3-乙酰腙类化合物制备方法,其特征在于所述的后处理为:反应结束后,反应液冷却、过滤得固体粗品,用重结晶溶剂重结晶制得如式(I)所示的(2-氧代苯并噻唑)-3-乙酰腙类化合物。

8.如权利要求7所述的(2-氧代苯并噻唑)-3-乙酰腙类化合物制备方法,其特征在于所述重结晶溶剂为下列一种或两种以上任意比例的混合液:石油醚、乙酸乙酯、正己烷或无水乙醇。

9.如权利要求1所述的(2-氧代苯并噻唑)-3-乙酰腙类化合物作为蚕豆蚜或棉红蜘蛛杀虫剂的应用。

10.如权利要求1所述的(2-氧代苯并噻唑)-3-乙酰腙类化合物作为小麦赤霉病菌、油菜菌核病菌或稻纹枯病菌灭菌剂的应用。