欢迎来到知嘟嘟! 联系电话:13336804447 卖家免费入驻,海量在线求购! 卖家免费入驻,海量在线求购!
知嘟嘟
我要发布
联系电话:13336804447
知嘟嘟经纪人
收藏
专利号: 2010102666216
申请人: 浙江工业大学
专利类型:发明专利
专利状态:已下证
专利领域: 有机化学〔2〕
更新日期:2023-08-24
缴费截止日期: 暂无
价格&联系人
年费信息
委托购买

摘要:

权利要求书:

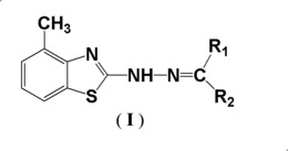
一种4‑甲基苯并噻唑衍生物,其结构如式(I)所示:式(I)中,R1、R2各自独立选自烷基、苯基或取代苯基;所述取代苯基苯环上的取代基在一个以上,所述取代基各自独立选自烷基、卤素、硝基或甲氧基。FDA0000025270240000011.tif2.如权利要求1所述的4-甲基苯并噻唑衍生物,其特征在于:式(I)中,RpR2各自独 立选自Cl〜C3的烷基、苯基或取代苯基;所述取代苯基苯环上的取代基为1个或2个,所 述的取代基独立选自Cl〜C3的烷基、F、Cl、Br、硝基或甲氧基。

3.如权利要求1所述的4-甲基苯并噻唑衍生物,其特征在于式(I)所示的4-甲基苯 并噻唑衍生物选自下列之一 =R1 =甲基,R2 =甲基氓=甲基,R2 =乙基氓=甲基,R2 =异 丙基氓=甲基,R2 =苯基氓=甲基,R2 = 4-甲基苯基;礼=甲基,R2 = 4-氯苯基;礼= 甲基,R2 = 3-氯苯基;礼=甲基,R2 = 4-氟苯基;礼=甲基,R2 = 4-溴苯基;礼=甲基,R2 =4-硝基苯基;礼=甲基,R2 = 2,6- 二氟苯基;礼=甲基,R2 = 2-甲氧基苯基;礼=甲基, R2 = 4-甲氧基苯基。

4.如权利要求1所述的4-甲基苯并噻唑衍生物,其特征在于式(I)所示的4-甲基苯 并噻唑衍生物选自下列之一 =R1 =甲基,R2 =甲基氓=甲基,R2 =乙基氓=甲基,R2 =异 丙基氓=甲基,R2 =苯基氓=甲基,R2 = 4-甲氧基苯基氓=甲基,R2 = 4-硝基苯基; R1 =甲基,R2 = 2,6- 二氟苯基。

5. 一种如权利要求1所述的4-甲基苯并噻唑衍生物的制备方法,所述的方法为:如式 (II)所示的2-胼基-4-甲基苯并噻唑与如式(III)所示的酮在溶剂乙醇中于回流状态下 进行加成缩合反应,反应结束后反应液经分离纯化制得所述的4-甲基苯并噻唑衍生物;

式(III)中,R1、R2的定义同权利要求1。

6.如权利要求5所述的4-甲基苯并噻唑衍生物的制备方法,其特征在于所述2-胼 基-4-甲基苯并噻唑、如式(III)所示的酮的投料物质的量比为1 : 1.0〜1.5。

7.如权利要求5所述的4-甲基苯并噻唑衍生物的制备方法,其特征在于所述的溶剂乙 醇的体积用量以2-胼基-4-甲基苯并噻唑的物质的量计为2〜5mL/mmol。

8.如权利要求5所述的4-甲基苯并噻唑衍生物的制备方法,其特征在于所述加成缩合 反应的反应时间为1〜5小时。

9.如权利要求1所述的4-甲基苯并噻唑衍生物作为杀虫剂的应用。

10.如权利要求1所述的4-甲基苯并噻唑衍生物作为灭菌剂的应用。