欢迎来到知嘟嘟! 联系电话:13336804447 卖家免费入驻,海量在线求购! 卖家免费入驻,海量在线求购!
知嘟嘟
我要发布
联系电话:13336804447
知嘟嘟经纪人
收藏
专利号: 201010134969X
申请人: 中国科学院宁波材料技术与工程研究所
专利类型:发明专利
专利状态:已下证
专利领域: 有机高分子化合物;其制备或化学加工;以其为基料的组合物
更新日期:2023-08-24
缴费截止日期: 暂无
价格&联系人
年费信息
委托购买

摘要:

权利要求书:

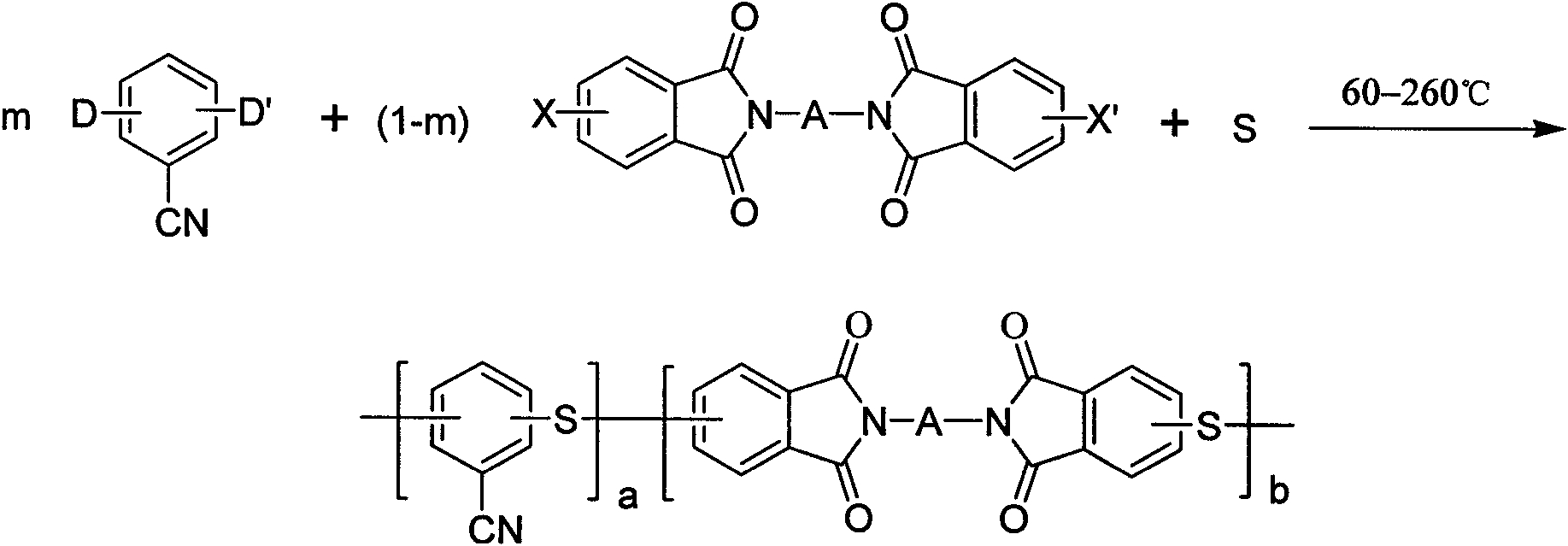
1. 一种聚芳硫醚腈酰亚胺共聚物,其结构通式如式I

式I中,a和b分别代表聚合度,a与b的比例为0. 1〜99. 9 : 0. 1〜99. 9 ; 硫醚键在聚合物中酞酰亚胺结构单元上的3-位或4-位,以及苯腈结构单元上的 2-位、3-位、4-位、5-位或者6-位;A为取代或未取代的脂肪烃基、取代或未取代的芳香基团中的一种; 所述的脂肪烃基选自C1〜Cltl的脂肪链烃基或C3〜Cltl的脂肪环烃基中的一种或至少两种以C-C键连接而形成的基团;所述的芳香基选自C6〜C3tl的芳香基团;所述的聚芳硫醚腈酰亚胺共聚物的比浓对数粘度为0. 13dL/g到3. 00dL/g。

2.根据权利要求1所述的聚芳硫醚腈酰亚胺共聚物,其特征在于,所述的A选自

而形成的基团。

3.根据权利要求1或2所述的聚芳硫醚腈酰亚胺共聚物的制备方法,其特征在于,包括步骤:采用式II所示结构的双取代酞酰亚胺与硫磺和二卤苯腈在还原剂、催化剂和反应助剂存在下进行共聚反应,制备聚芳硫醚腈酰亚胺共聚物;

式II中,X与X'相同或不同,X与X'各自独立的选自氟原子、氯原子、溴原子或者硝基中的一种,且X与X'取代位置各自独立在3-或4-位;A为取代或未取代的脂肪烃基、取代或未取代的芳香基中的一种,且与式I中A具有相同的含义;所述的脂肪烃基选自C1〜Cltl的脂肪链烃基或C3〜Cltl的脂肪环烃基中的一种或至少两种以C-C键连接而形成的基团;所述的芳香基选自C6〜C3q的芳香基团。

4.根据权利要求3所述的制备方法,其特征在于,所述的二卤苯腈与双取代酞酰亚胺的物质的量之比为0. 1〜99. 9 : 0. 1〜99. 9 ;所述的硫磺的物质的量与双取代酞酰亚胺和二卤苯腈总物质的量之比为0. 90〜 1. 30 : 1 ;所述的共聚反应温度为60°C〜260°C。

5.根据权利要求3所述的制备方法,其特征在于,所述的二卤苯腈的结构通式如式式III中,D与D'相同或不同,D与D'各自独立的选自氟原子、氯原子或者溴原子中的一种,且D与D ‘取代位置各自独立在2-位、3-位、4-位、5-位或者6-位。

6.根据权利要求3或5所述的制备方法,其特征在于,所述的二卤苯腈选自2,6-二氯苯腈、2,6- 二氟苯腈、2,6- 二溴苯腈、2-氯-6溴苯腈、2,4- 二氯苯腈、3,5- 二氯苯腈、2, 5- 二氟苯腈、2,4- 二氟苯腈、2,4- 二溴苯腈、2-氯-4-溴苯腈中的一种或多种。

7.根据权利要求3所述的制备方法,其特征在于,所述的还原剂选自甲酸盐、草酸盐、 醛、胼、羟胺、金属单质、还原性盐、氢化物、氨气、氢气中的至少一种;所述的反应助剂或催化剂选自碳酸盐、碳酸氢盐、磷酸盐、磷酸氢盐、氢氧化碱、卤化物、相转移催化剂中的至少一种。

8.根据权利要求3或7所述的制备方法,其特征在于,所述的共聚反应在苯类溶剂中或者在苯类溶剂与极性非质子溶剂的混合溶剂中或者在极性非质子溶剂中进行;所述的极性非质子溶剂选自N-甲基吡咯烷酮、N,N-二甲基甲酰胺、N,N-二甲基乙酰胺、二甲基亚砜、六甲基磷酰三胺、二苯砜或环丁砜中的一种或多种。所述的苯类溶剂选自苯、甲苯、二甲苯或者氯苯中的一种或多种。

9.根据权利要求3或8所述的制备方法,其特征在于,所述的共聚反应在惰性气体的气氛中进行。

10.根据权利要求3或9所述的制备方法,其特征在于,所述的共聚反应在至少一种链封端剂存在下进行;所述的链封端剂为式IV所示结构的化合物:式IV中,B选自氟原子、氯原子、溴原子或硝基;R为取代或未取代的芳香基团或者取代或未取代的烷基,所述的芳香基团选自苯基、联苯基、呋喃基、吡啶基、萘基或喹啉基;M选自氢原子、甲基、酰基、苯基酰基、烷基磺酰基、芳基磺酰基、硝基、氰基、偶氮基、羧基、三氟甲基、酰亚胺基或取代酰亚胺基。